本文最后更新于-1天前,其中的信息可能已经过时,如有错误请发送邮件到2392862431@qq.com
基本思想(以下均默认认f(x)>0)


做题方法
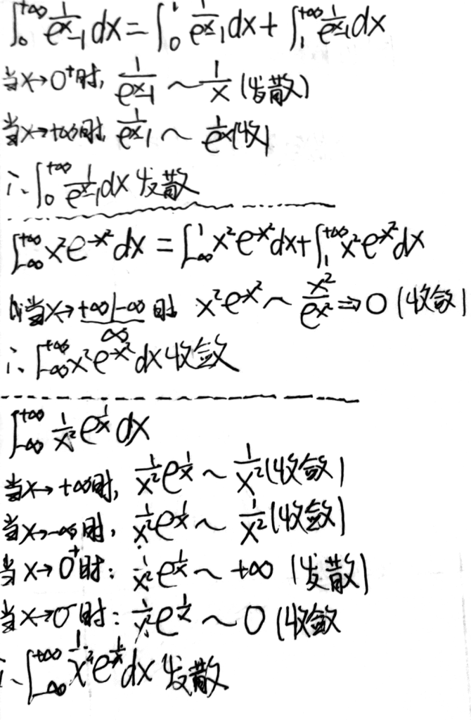
判断有瑕点每次只能处理里一个瑕点(这里瑕点指的是X趋于无穷或无穷间断点)
将fx等价无穷小、乘以非零常数,敛散性不变
注:上述审敛法须保证f以x)≥0才成立
若反常积分比较容易计算,也可直接计算,从而判断敛散性即定义法
题目让判断敛散性,则优先考虑审敛法,不去计算
题目让算出积分值,则直接计算,不必先用审致法判敛


题型分类
求反常积分收敛性主要分为以下三个类别的题目
1.只含有幂级数

2.含有e的x次方

3.含有lnx
含有lnx的幂函数比较特别点,在这里有如下的敛散性总结,可以实现秒杀😂












因为平时比较忙,博客没啥时间写所以一般都是上传我自己的手稿,写的字太丑😂